Probabilistic Causal Effect Estimation
Dingyi Lai / June 2023
Why This Matters
Estimating how treatments or interventions influence outcomes over time is at the heart of causal inference—but real-world systems often react differently at different quantiles (e.g. the worst-affected vs. median cases). In my master’s thesis, I introduce a unified “global” framework that marries causal analysis with modern predictive algorithms—allowing us to uncover not just whether an intervention worked, but how its impact varies across the full outcome distribution.
The Big Question
How would treated units have evolved, at each forecast horizon, if they’d never received the treatment?
To answer this, we:
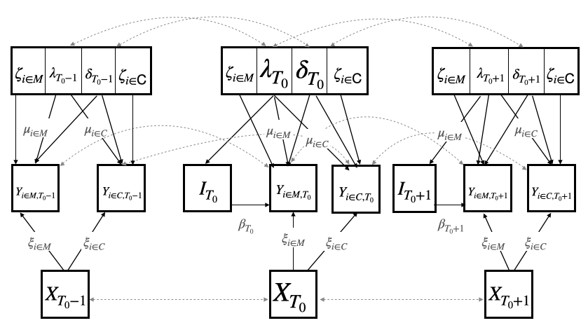
- Define causal mechanisms via Directed Acyclic Graphs (DAGs).

- State identification assumptions (e.g. no hidden back-doors).
- Assumption 1 (Consistency).
- Assumption 2 (Generalized fixed-effects model).
- Assumption 3 (Existence of synthetic control from classical synthetic control methods)
- …
- Run placebo tests to validate the model’s ability to reproduce a “null effect.”

- Estimate probabilistic causal effects across quantiles using forecasts.

From Classical Tools to a Global Paradigm
- Difference-in-Differences & Synthetic Controls lay the groundwork for panel-data causal inference.
- Local methods like Bayesian Structural Time Series (CausalImpact) build a separate model per treated unit.
- Global methods instead pool information across all series before vs. after treatment—learning a single predictor that can generate counterfactual paths for every unit simultaneously.

Models Compared
- CausalImpact (local, parametric Bayesian)
- TSMixer (MLP-based global)
- DeepProbCP (LSTM-based global with quantile forecasting)
- Temporal Fusion Transformer (TFT) (attention-based global)
How We Measure Success
- Point forecasts: sMAPE (average relative deviation between predictions and observations), MASE (compares forecast accuracy to a naïve seasonal baseline)
- Probabilistic forecasts: CRPS (the quality of a full predictive distribution by integrating pinball loss over all quantiles)
- Placebo tests: ensure that control units (which never receive treatment) show no spurious effect.
- Quantile treatment effects (QTE): compare predicted vs. observed for each quantile.
Key Findings
- Synthetic Data Experiments
- For small, linear series: CausalImpact wins on point metrics.
- As series grow in number or complexity: TFT consistently outperforms others, capturing nonlinear dynamics more faithfully.
- DeepProbCP and TSMixer show mixed results—DeepProbCP yields useful probabilistic intervals but occasionally lags in raw accuracy.
- Real-World Case: 911 Emergency Calls & COVID-19
- Lockdown measures induced a negative treatment effect on call volume—people simply called less.
- DeepProbCP and TFT both pass the placebo test and deliver lower CRPS on the control series, with TFT slightly edging out on point accuracy.
- Heterogeneous effects across quantiles (e.g. 10th vs. 90th percentile) reveal that the strongest impact fell on the highest-demand counties.
Figure 4: Estimation of the Average Treatment Effect on the Treated per Quantile
Take-Home Messages
- Global modeling leverages cross-series patterns to improve counterfactual prediction—especially in complex, high-dimensional panels.
- Probabilistic causal estimates (quantile forecasts + spline interpolation) furnish richer insights than point estimates alone.
- Placebo testing remains vital: even the most powerful forecaster can’t be trusted unless it shows no effect where none should exist.
What’s Next?
- Expand to more quantiles (beyond 0.1, 0.5, 0.9) and resolve quantile–crossing via conditional quantile functions.
- Integrate LightGBM, Transformer-XL, or other novel trackers as alternate global predictors.
- Develop theoretical guarantees to formally bridge prediction-based methods with causal-inference assumptions.
By blending deep-learning forecasts with rigorous causal checks, we open a path toward fine-grained, distributional causal insights—vital for policy, medicine, and any domain where how an intervention moves the needle matters as much as whether it does.
Happy modeling—and may your counterfactuals be ever informative!